물리학의 세계에서 에너지는 다양한 형태로 나타나며 가장 매력적이고 기본적인 개념 중 하나는 운동 에너지입니다. 운동 에너지는 물체의 움직임으로 인해 물체가 갖는 에너지입니다. 걷는 단순한 행동에서 경주용 자동차의 놀라운 속도에 이르기까지 운동 에너지는 우리 주변에서 활동하고 있습니다. 이 블로그 게시물에서는 운동 에너지의 개념, 그 의미 및 실제 응용 프로그램에 대해 자세히 설명합니다.

운동 에너지 이해
운동 에너지는 물체가 운동으로 인해 소유하는 에너지로 정의됩니다. 물체의 질량과 속도라는 두 가지 요소에 따라 달라집니다.
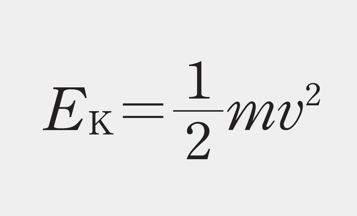
운동 에너지 계산 공식은 K.E. = 1/2 * m * v^2
여기서 'K.E.' 운동 에너지, 'm'은 물체의 질량, 'v'는 속도를 나타냅니다.
운동 에너지의 중요성
- 에너지 전달: 물체가 움직일 때 운동 에너지를 가집니다. 이 에너지는 다른 물체로 전달되거나 다른 형태로 변환될 수 있습니다. 예를 들어, 움직이는 자동차가 다른 자동차와 충돌하면 첫 번째 자동차의 운동 에너지가 두 번째 자동차로 전달되어 움직이거나 변형됩니다.
- 일과 힘: 운동 에너지는 일과 힘과 밀접한 관련이 있습니다. 일은 먼 거리에 힘을 가하는 것으로 정의되며, 힘은 일이 수행되는 속도입니다. 운동 에너지는 물체가 할 수 있는 일의 양 또는 물체가 생성할 수 있는 전력과 직접 관련이 있습니다.
속도의 제곱: 운동 에너지는 물체 속도의 제곱에 정비례합니다. 이것은 물체의 속도나 속력이 증가함에 따라 운동 에너지가 기하급수적으로 증가한다는 것을 의미합니다. 따라서 물체가 더 빨리 움직일수록 더 많은 운동 에너지를 가지고 있습니다.
운동 에너지의 실제 응용
- 운송: 자동차, 기차, 비행기와 같이 움직이는 차량의 운동 에너지는 운송에 필수적입니다. 엔진에서 생성된 에너지는 차량의 운동 에너지로 변환되어 승객이나 화물을 이동하고 운송할 수 있습니다.
- 스포츠 및 운동: 운동 에너지는 다양한 스포츠 및 운동 활동에서 중요한 역할을 합니다. 최고 속도로 달리는 단거리 선수이든 축구에서 공을 차는 것이든 운동 에너지는 이러한 역동적인 움직임의 원동력입니다.
- 재생 에너지: 운동 에너지는 수력 발전 및 풍력 터빈과 같은 재생 에너지원에서 활용됩니다. 물이나 바람의 움직임은 기계적 에너지로 변환된 후 다양한 목적을 위해 전기 에너지로 변환됩니다.
- 일상 활동: 자전거 타기에서 운동장 그네 타기에 이르기까지 운동 에너지는 일상생활의 일부입니다. 그것은 우리의 움직임에 힘을 실어 활동과 작업을 가능하게 합니다.
결론적으로
운동 에너지를 이해하면 운동 역학 및 에너지 변환을 이해하는 데 있어 가능성의 세계가 열립니다. 가장 작은 입자에서 가장 거대한 천체에 이르기까지 운동 에너지는 근본적인 역할을 합니다. 따라서 다음에 움직이는 물체를 목격하거나 신체 활동에 참여할 때 역동적인 세상을 움직이는 운동 에너지인 운동 에너지의 힘과 중요성을 인식하십시오.
**참고: 추가로 관심 있는 정보는 아래에서 찾아 클릭하면 됩니다.
1. Celebration Culture: 한국의 유명한 축제와 행사
3. 부산 베스트 탐방: 보석 같은 해안가에서 꼭 가봐야 할 곳
4. 영어 마스터링: 언어 학습자를 위한 효과적인 전략
'생활 건강' 카테고리의 다른 글
| 곡물 협정 탐색: 그 영향 및 의미 이해 (0) | 2023.07.19 |
|---|---|
| 균형 회복: 손실 보상 탐색 (0) | 2023.07.19 |
| 일차함수(선형 함수) 이해: 수학적 분석의 기초 (0) | 2023.07.19 |
| 근로장려금: 경제적 안정 지원 및 개인 역량 강화 (0) | 2023.07.19 |
| 청년도약계좌: 청년들의 경제적 자립을 지원하다 (0) | 2023.07.19 |